진분수·대분수와 자연수의 곱셈을 한 번에 이해하기
분수와 자연수의 곱셈은 초등 고학년에서 꼭 알아야 하는 핵심 연산입니다.
특히 진분수 × 자연수, 대분수 × 자연수, 자연수 × 분수, 자연수 × 대분수는
계산 방법이 비슷하지만 단계가 헷갈리기 쉽습니다.
이번 글에서는 교과서 내용을 바탕으로
각 경우를 왜 그렇게 계산하는지, 어떻게 쉽게 해결하는지
두 가지 관점에서 초등 학생도 이해할 수 있도록 정리해보겠습니다.
1. 진분수 × 자연수
진분수는 분자가 더 작은 분수(예: 3/8)를 말합니다.
진분수와 자연수의 곱셈은 사실 규칙이 매우 간단합니다.
👉 분모는 그대로 두고, 분자와 자연수만 곱합니다.
예:

두 가지 방법으로 계산할 수 있습니다.
🔸 방법 ① 분자 × 자연수를 먼저 하고 나누기

🔸 방법 ② 곱셈 과정에서 미리 약분하기

약분을 먼저 하면 계산이 훨씬 간단해집니다.
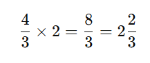
2. 대분수 × 자연수
대분수는 자연수 + 진분수(예: 1과 1/3) 형태입니다.
대분수는 먼저 가분수로 고쳐 계산하는 방법,
혹은 (자연수 부분 + 분수 부분)을 나누어 계산하는 방법 두 가지가 있습니다.
예:

🔸 방법 ① 대분수를 가분수로 바꾸기

🔸 방법 ② 자연수 부분과 분수 부분을 따로 계산하기

두 방법 모두 같은 답이 나오며,
상황에 따라 더 쉬운 방식으로 선택하면 됩니다.
3. 자연수 × 진분수
진분수 × 자연수와 원리는 동일합니다.
👉 자연수 × 분자만 곱하면 됩니다.
📌 예:

🔸 방법 ① 자연수 × 분자 후 약분

🔸 방법 ② 곱셈 과정에서 약분

계산 과정이 깔끔해지는 장점이 있습니다.
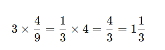
4. 자연수 × 대분수
대분수 × 자연수처럼 두 가지 방법으로 계산합니다.
예:

🔸 방법 ① 대분수를 가분수로 고치기

🔸 방법 ② 자연수 부분과 분수 부분을 분리하기

☞ 학생들에게 해주고 싶은 팁!
✔ 분모는 절대 곱하지 않습니다.
✔ 약분은 언제 해도 정답은 같다!
✔ 대분수는 가분수로 바꾸거나, 자연수+분수로 분해하면 된다.
✔ 계산이 복잡해지면 “분자끼리만 곱한다”는 원리를 떠올리기!
▣ 정리
분수와 자연수의 곱셈은 크게 네 가지 경우로 나눌 수 있습니다.
각 경우는 계산하는 방법이 조금씩 다르지만, 공통적으로 분자와 자연수를 곱하는 것이 기본 원리입니다.
먼저, 진분수와 자연수의 곱셈은 분모는 그대로 두고 분자와 자연수만 곱해 주면 됩니다. 계산이 복잡할 때는 곱하기 전에 약분을 하면 더 쉽고 빠르게 풀 수 있습니다.
그 다음, 대분수와 자연수의 곱셈은 두 가지 방식이 있습니다. 대분수를 먼저 가분수로 바꿔서 계산하는 방법이 있고, 자연수 부분과 분수 부분을 따로 계산해서 마지막에 더하는 방법도 있습니다. 두 방법은 어떤 것을 선택해도 항상 같은 결과가 나옵니다.
세 번째로, 자연수와 진분수의 곱셈은 원리가 앞의 경우와 같습니다. 자연수와 분자를 곱해서 분수로 만든 후, 필요하면 약분을 하거나 기약분수로 고쳐 주면 됩니다. 계산 과정에서 분자와 분모를 약분하면 훨씬 간단해집니다.
마지막으로, 자연수와 대분수의 곱셈도 역시 두 가지 계산법을 사용할 수 있습니다. 대분수를 가분수로 고쳐 자연수와 곱하거나, 대분수를 자연수와 진분수의 합으로 바꾸어 각각 계산한 뒤 더하는 방식입니다.
정리하면,
- 진분수 × 자연수와 자연수 × 진분수는 분모는 유지하고 분자와 자연수만 곱하며,
- 대분수 × 자연수와 자연수 × 대분수는 가분수로 바꾸거나 자연수 부분과 분수 부분을 나누어 계산하는 것이 핵심입니다.
이 네 가지 원리를 기억하면 어떤 형태의 분수 곱셈이 나와도 쉽게 해결할 수 있습니다.