원뿔을 잘라 만들 수 있는 입체도형
입체도형 단원에서 원뿔을 배운 뒤 자연스럽게 이어지는 도형이 원뿔대입니다.
원뿔대는 모양이 비교적 익숙하지만, 공식과 구조를 정확히 이해하지 않으면
부피나 겉넓이 계산에서 어려움을 느끼기 쉽습니다.
이 글에서는 원뿔대의 정의, 구성 요소, 성질, 공식의 의미,
그리고 실생활 예시까지 차근차근 정리합니다.
원뿔대란 무엇입니까?
원뿔대는 원뿔을 밑면과 평행한 평면으로 잘라서 만들어진 입체도형입니다.
쉽게 말하면, 원뿔의 뾰족한 꼭짓점을 잘라낸 모양입니다.
원뿔은 위쪽이 한 점으로 모이지만,
원뿔대는 그 부분이 잘려 나가면서 위쪽에도 원 모양의 면이 생깁니다.
따라서 원뿔대에는 위아래에 두 개의 원형 면이 존재합니다.
이러한 형태는 다음과 같은 물건에서 쉽게 찾아볼 수 있습니다.
- 양동이
- 종이컵
- 팝콘 통
- 화분
- 전등 갓(램프 쉐이드)

원뿔대의 구성 요소
원뿔대를 이해하려면 다음 네 가지 요소를 정확히 구분해야 합니다.

1. 아랫면
원뿔대의 아래쪽에 있는 큰 원입니다.
아랫면의 반지름은 보통 R로 나타냅니다.
2. 윗면
원뿔대의 위쪽에 있는 작은 원입니다.
윗면의 반지름은 보통 r로 나타냅니다.
3. 높이(h)
윗면과 아랫면 사이의 수직 거리입니다.
두 원의 중심을 연결한 선이 바로 높이가 됩니다.
4. 모선(l)
아랫면의 원 위 한 점과 윗면의 원 위 한 점을 연결한 선분입니다.
원뿔대의 옆면을 따라 이어지는 기울어진 길이이며,
높이와는 다른 개념입니다.
원뿔대의 모양과 기본 성질
원뿔대는 다음과 같은 특징을 가집니다.
- 위아래 두 원형 면은 서로 평행합니다.
- 두 원의 중심을 지나는 축이 높이가 됩니다.
- 옆에서 보면 전체 단면이 사다리꼴 모양으로 보입니다.
이러한 성질 때문에
원뿔대는 입체적으로는 곡면을 가지지만,
단면에서는 직선적인 구조를 확인할 수 있습니다.
원뿔대에서 중요한 관계식
원뿔대의 높이(h), 아랫면 반지름(R), 윗면 반지름(r),
그리고 모선(l) 사이에는 다음과 같은 관계가 성립합니다.

이 식은 원뿔대를 옆에서 보았을 때
직각사다리꼴이 만들어지기 때문에 성립합니다.
- 높이 h → 수직인 변
- (R − r) → 가로 방향의 길이
- 모선 l → 빗변
이 관계식을 이용하면 모선의 길이를 구할 수 있습니다.
원뿔대의 부피
원뿔대의 부피는 다음 공식으로 구합니다.

여기서
- R은 아랫면의 반지름
- r은 윗면의 반지름
- h는 높이
입니다.
부피 공식은 어떻게 이해할 수 있을까요?
원뿔대는
큰 원뿔에서 작은 원뿔을 잘라낸 도형으로 생각할 수 있습니다.
따라서 원뿔대의 부피는
큰 원뿔의 부피에서 작은 원뿔의 부피를 뺀 값과 같습니다.
공식에 등장하는
R² + Rr + r²는
아랫부분, 중간 부분, 윗부분을 모두 고려한
평균적인 넓이 개념으로 이해할 수 있습니다.
원뿔대의 겉넓이
원뿔대의 겉넓이는
아랫면, 윗면, 옆면의 넓이를 모두 더한 값입니다.

각 항의 의미는 다음과 같습니다.
- πR² : 아랫면의 넓이
- πr² : 윗면의 넓이
- π(R + r)l : 옆면의 넓이
원뿔대의 옆면은 전개하면
두 원 사이를 잇는 부채꼴 모양의 띠가 되며,
이 구조 때문에 (R + r)이 함께 사용됩니다.
예제로 이해해보기
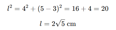
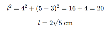
아랫면의 반지름이 5cm,
윗면의 반지름이 3cm,
높이가 4cm인 원뿔대가 있다고 가정합니다.
1. 모선의 길이

2. 부피

3. 겉넓이

단계별로 나누어 계산하면
공식이 복잡해 보이더라도 충분히 해결할 수 있습니다.
원뿔과 원뿔대의 관계
원뿔대는 원뿔과 매우 밀접한 관계를 가집니다.
만약 윗면의 반지름 r이 0이 된다면,
원뿔대는 다시 원뿔이 됩니다.
즉,
원뿔은 원뿔대의 한 특별한 경우라고 볼 수 있습니다.
마무리
원뿔대는 두 개의 원을 가진 입체도형으로,
부피와 겉넓이 공식이 다소 복잡해 보일 수 있습니다.
하지만 구조를 이해하고 원뿔과의 관계를 함께 생각하면
충분히 이해할 수 있는 도형입니다.
높이와 모선의 차이,
윗면과 아랫면의 반지름 개념을 정확히 구분하는 것이
원뿔대 학습의 핵심입니다.